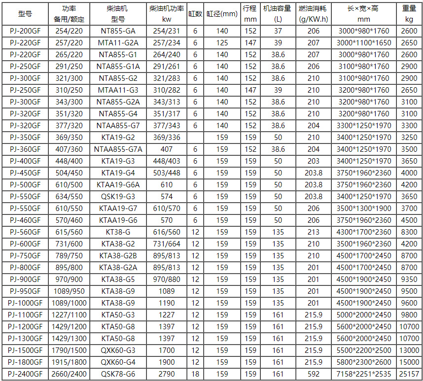
重慶康明斯系列
- 簡介: 康明斯公司,全球動力產品的先導,***涉及發動機設計,制造,分銷以及其他相關技術包括:燃油系統,控制系統,濾清器,排放方案和電力系統。總部設在美國印第安納州,通過分布在130多個國家的600多個…
產品詳細
康明斯公司,全球動力產品的先導,***涉及發動機設計,制造,分銷以及其他相關技術包括:燃油系統,控制系統,濾清器,排放方案和電力系統??偛吭O在美國印第安納州,通過分布在130多個國家的600多個分公司和獨立代理商向其客戶提供服務。
康明斯發電機優點:品質優良、低燃油消耗、噪聲低、輸出功率大,性能可靠。其可靠的穩定性、經濟性、動力性、耐久性和環境安全性受到國內外用戶的歡迎,全球三包連保。

- 上一篇:駐馬店商場500KW康明斯
- 下一篇:東風康明斯系列


